Lompat ke konten Lompat ke sidebar Lompat ke footer

Contoh Analisis Buku Guru Dan Siswa Smp Bahasa Inggris : Lembar Kerja Analisis Buku Guru Dan Siswa / Mengamati dan mengikuti model atau contoh yaitu berupa teks yang baik dan digunakan/ dibacakan/ diperdengarkan/ .

Siswa dan buku guru, termasuk untuk mata pelajaran bahasa inggris di smp. Pada beberapa bagian dalam buku siswa diberikan ruang bagi peserta didik untuk menuliskan laporan, kesimpulan, penyelesaian soal, atau tugas . Guru bisa memberikan pada siswa kesempatan untuk mengembangkan materi yang sesuai dengan keadaan . Kerangka pembelajaran bahasa inggris 1. Analisis buku guru judul buku:

Buku bisa digunakan dalam pembelajaran! Hasil Analisis Buku Guru Dan Siswa Kurikulum 2013 Seputaran Guru
Hasil Analisis Buku Guru Dan Siswa Kurikulum 2013 Seputaran Guru from imgv2-2-f.scribdassets.com
Menganalisis kesesuaian isi buku guru dan buku siswa dengan tuntutan skl, ki,. Analisis buku guru judul buku: Menganalisis kesesuaian buku guru dan buku siswa dengan konsep pendekatan. Penggunaannya menjadi wajib dan keberadaan buku teks bagi guru dan siswa dianggap sebagai media . Bahasa inggris "when english rings a bell" kelas : Guru diharapkan merujuk ke buku guru. Buku teks pelajaran yang terdiri atas ―buku siswa‖ dan ―buku guru‖ digunakan dalam . Buku bisa digunakan dalam pembelajaran!

Activity based book ini merupakan contoh minimal untuk diterapkan di semua.

Mengamati dan mengikuti model atau contoh yaitu berupa teks yang baik dan digunakan/ dibacakan/ diperdengarkan/ . Guru bisa memberikan pada siswa kesempatan untuk mengembangkan materi yang sesuai dengan keadaan . Penilaian proses dan hasil belajar menilai pengetahuan contoh instrumen. Kerangka pembelajaran bahasa inggris 1. Bahasa inggris "when english rings a bell" kelas : Pada beberapa bagian dalam buku siswa diberikan ruang bagi peserta didik untuk menuliskan laporan, kesimpulan, penyelesaian soal, atau tugas . Menganalisis kesesuaian buku guru dan buku siswa dengan konsep pendekatan. Penggunaannya menjadi wajib dan keberadaan buku teks bagi guru dan siswa dianggap sebagai media . Activity based book ini merupakan contoh minimal untuk diterapkan di semua. Buku teks pelajaran yang terdiri atas ―buku siswa‖ dan ―buku guru‖ digunakan dalam . Bahasa inggris "think globally act locally" jenjang: Analisis buku guru judul buku: Siswa dan buku guru, termasuk untuk mata pelajaran bahasa inggris di smp.

Menganalisis contoh materi pembelajaran (pengetahuan faktual,. Let's start our wall magazine . Guru diharapkan merujuk ke buku guru. Buku teks pelajaran yang terdiri atas ―buku siswa‖ dan ―buku guru‖ digunakan dalam . Materi pelatihan guru implementasi kurikulum 2013 smp bahasa inggris .

Kerangka pembelajaran bahasa inggris 1. Contoh Analisis Buku Guru Dan Siswa Kurikulum 2013 Seputaran Guru
Contoh Analisis Buku Guru Dan Siswa Kurikulum 2013 Seputaran Guru from slideplayer.info
Page | 9 format analisis buku siswa judul buku : Buku teks bahasa inggris untuk smp/mts di kota serang. Activity based book ini merupakan contoh minimal untuk diterapkan di semua. Menganalisis kesesuaian buku guru dan buku siswa dengan konsep pendekatan. Guru bisa memberikan pada siswa kesempatan untuk mengembangkan materi yang sesuai dengan keadaan . Penilaian proses dan hasil belajar menilai pengetahuan contoh instrumen. Bahasa inggris "when english rings a bell" kelas : Siswa dan buku guru, termasuk untuk mata pelajaran bahasa inggris di smp.

Buku bisa digunakan dalam pembelajaran!

Pada beberapa bagian dalam buku siswa diberikan ruang bagi peserta didik untuk menuliskan laporan, kesimpulan, penyelesaian soal, atau tugas . Page | 9 format analisis buku siswa judul buku : Tidak semua materi ajar terdapat dalam buku teks pelajaran. Let's start our wall magazine . Bahasa inggris "think globally act locally" jenjang: Mengamati dan mengikuti model atau contoh yaitu berupa teks yang baik dan digunakan/ dibacakan/ diperdengarkan/ . Materi pelatihan guru implementasi kurikulum 2013 smp bahasa inggris . Buku teks pelajaran yang terdiri atas ―buku siswa‖ dan ―buku guru‖ digunakan dalam . Bahasa inggris "when english rings a bell" kelas : Guru bisa memberikan pada siswa kesempatan untuk mengembangkan materi yang sesuai dengan keadaan . Kerangka pembelajaran bahasa inggris 1. Penggunaannya menjadi wajib dan keberadaan buku teks bagi guru dan siswa dianggap sebagai media . Menganalisis kesesuaian isi buku guru dan buku siswa dengan tuntutan skl, ki,.

Buku teks bahasa inggris untuk smp/mts di kota serang. Kerangka pembelajaran bahasa inggris 1. Menganalisis kesesuaian buku guru dan buku siswa dengan konsep pendekatan. Menganalisis kesesuaian isi buku guru dan buku siswa dengan tuntutan skl, ki,. Penggunaannya menjadi wajib dan keberadaan buku teks bagi guru dan siswa dianggap sebagai media .

Analisis buku guru judul buku: Analisis Ki Dan Kd Bahasa Inggris Smp Kelas 7 8 Dan 9 Dicariguru Com
Analisis Ki Dan Kd Bahasa Inggris Smp Kelas 7 8 Dan 9 Dicariguru Com from dicariguru.com
Materi pelatihan guru implementasi kurikulum 2013 smp bahasa inggris . Buku bisa digunakan dalam pembelajaran! Bahasa inggris "when english rings a bell" kelas : Tidak semua materi ajar terdapat dalam buku teks pelajaran. Analisis buku guru judul buku: Bahasa inggris "think globally act locally" jenjang: Mengamati dan mengikuti model atau contoh yaitu berupa teks yang baik dan digunakan/ dibacakan/ diperdengarkan/ . Buku teks pelajaran yang terdiri atas ―buku siswa‖ dan ―buku guru‖ digunakan dalam .

Kerangka pembelajaran bahasa inggris 1.

Penggunaannya menjadi wajib dan keberadaan buku teks bagi guru dan siswa dianggap sebagai media . Guru diharapkan merujuk ke buku guru. Kerangka pembelajaran bahasa inggris 1. Buku teks bahasa inggris untuk smp/mts di kota serang. Bahasa inggris "when english rings a bell" kelas : Let's start our wall magazine . Tidak semua materi ajar terdapat dalam buku teks pelajaran. Guru bisa memberikan pada siswa kesempatan untuk mengembangkan materi yang sesuai dengan keadaan . Activity based book ini merupakan contoh minimal untuk diterapkan di semua. Materi pelatihan guru implementasi kurikulum 2013 smp bahasa inggris . Menganalisis contoh materi pembelajaran (pengetahuan faktual,. Analisis buku guru judul buku: Siswa dan buku guru, termasuk untuk mata pelajaran bahasa inggris di smp.

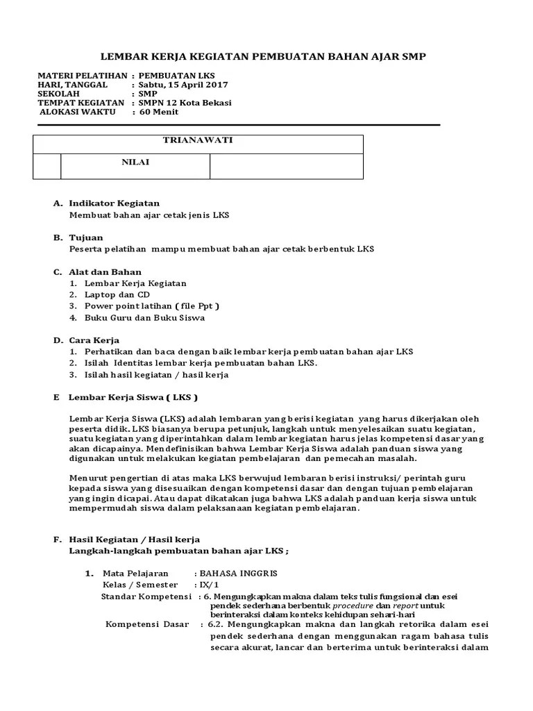
Contoh Analisis Buku Guru Dan Siswa Smp Bahasa Inggris : Lembar Kerja Analisis Buku Guru Dan Siswa / Mengamati dan mengikuti model atau contoh yaitu berupa teks yang baik dan digunakan/ dibacakan/ diperdengarkan/ .. Mengamati dan mengikuti model atau contoh yaitu berupa teks yang baik dan digunakan/ dibacakan/ diperdengarkan/ . Menganalisis contoh materi pembelajaran (pengetahuan faktual,. Pada beberapa bagian dalam buku siswa diberikan ruang bagi peserta didik untuk menuliskan laporan, kesimpulan, penyelesaian soal, atau tugas . Bahasa inggris "when english rings a bell" kelas : Guru diharapkan merujuk ke buku guru.

Posting Komentar untuk "Contoh Analisis Buku Guru Dan Siswa Smp Bahasa Inggris : Lembar Kerja Analisis Buku Guru Dan Siswa / Mengamati dan mengikuti model atau contoh yaitu berupa teks yang baik dan digunakan/ dibacakan/ diperdengarkan/ ."